Current Projects
The relationship between speech perception and production in gradiency and consistency
Supervisors: Efthymia Kapnoula (BCBL), Arthur Samuel (BCBL)
Summary:
- To examine whether listeners with higher speech perception gradiency (i.e., sensitivity to subphonemic differences) reproduce speech sounds more accurately
- To examine whether listeners with higher speech perception consistency (i.e., stability of speech sound encoding) reproduce speech sounds more consistently
Methods: Visual Analogue Scale (VAS), speech imitation task, various behavioral tasks and questionnaires
Read more:
- To examine whether listeners with higher speech perception gradiency (i.e., sensitivity to subphonemic differences) reproduce speech sounds more accurately
- To examine whether listeners with higher speech perception consistency (i.e., stability of speech sound encoding) reproduce speech sounds more consistently
Methods: Visual Analogue Scale (VAS), speech imitation task, various behavioral tasks and questionnaires
Read more:
---------------------------------------------------------------------------------------
Trajectories of gradiency, consistency, and accent processing in adult L2 learning: A longitudinal study
Collaborators: Ege Gür (University of Iowa), Efthymia Kapnoula (BCBL), Ethan Kutlu (University of Iowa)
Summary:
- To track the development of gradiency (i.e., sensitivity to subphonemic differences) and consistency (i.e., stability of speech sound encoding) in English learners of Spanish over a three-year period
- To investigate the relationships between gradiency, consistency, and cognitive load in the processing of accented speech
Methods: Visual Analogue Scale (VAS), pupillometry experiment, behavioral tasks, and linguistic diversity questionnaire
Read more:
- To track the development of gradiency (i.e., sensitivity to subphonemic differences) and consistency (i.e., stability of speech sound encoding) in English learners of Spanish over a three-year period
- To investigate the relationships between gradiency, consistency, and cognitive load in the processing of accented speech
Methods: Visual Analogue Scale (VAS), pupillometry experiment, behavioral tasks, and linguistic diversity questionnaire
Read more:
---------------------------------------------------------------------------------------
Use of probabilistic speech cues in bilingual context
Different VOT variance distribution between Spanish (narrow) and Basque (wide) Visual world paradigm
Supervisors: Efthymia Kapnoula (BCBL), Arthur Samuel (BCBL)
Collaborator: Emily Myers (University of Connecticut)
Summary: To examine whether bilinguals can simultaneously maintain different probability distributions in their minds for two languages spoken by the same talker
Method: Visual world paradigm with eye-tracking
Read more:
Read more:
---------------------------------------------------------------------------------------
Rhythmic abilities and cognitive load in perception of accented second language speech
[Gallery picture]
Perceptual rhythmic ability
[Gallery picture]
Productive rhythmic ability and temporal variability
[Gallery picture]
Pupillometry
Supervisor: Drew McLaughlin (BCBL)
Collaborators: Efthymia Kapnoula (BCBL), Arthur Samuel (BCBL)
Summary: To examine whether individual listener differences in receptive and productive rhythmic abilities predict cognitive load for accent perception in L2 listening
Methods: Pupillometry experiment and behavioral tasks
Read more:
---------------------------------------------------------------------------------------
The role of speech perception gradiency in L1 versus L2 spoken word recognition
[Gallery picture]
Visual analogue scales (VAS)
[Gallery picture]
Visual world paradigm
Supervisors: Efthymia Kapnoula (BCBL), Arthur Samuel (BCBL)
Summary: To examine the predictors of individual differences in listeners' speech categorization gradiency and recovery in Lexical Garden Paths in Spanish-English bilinguals
Methods: Visual analogue scale (VAS), visual world paradigm with eye-tracking, and various behavioral tasks
Read more:
Methods: Visual analogue scale (VAS), visual world paradigm with eye-tracking, and various behavioral tasks
Read more:
---------------------------------------------------------------------------------------
Previous Projects
Adaptation patterns and their associations with mismatch negativity: An electroencephalogram (EEG) study with controlled expectations
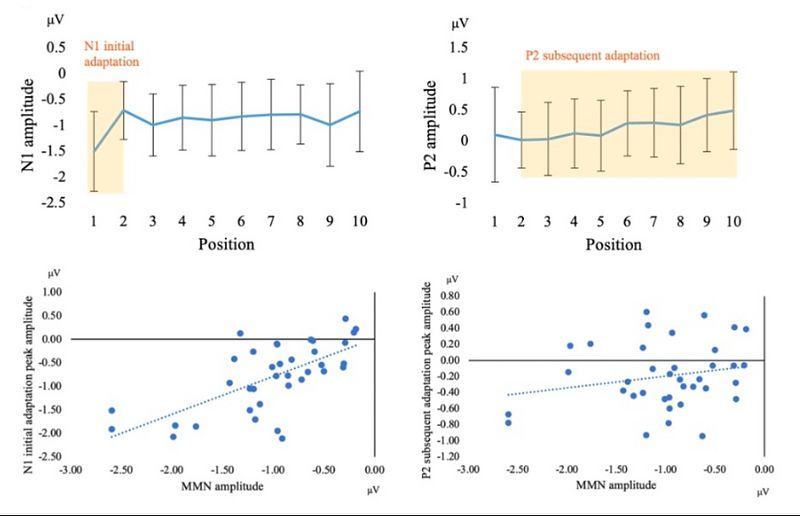
[Picture]
(Top) The adaptation curves based on the N1 (left) and P2 (right) peak amplitudes in each position of the first ten tones. (Bottom) Correlations between MMN ampltiude and (left) N1 initial adapatation and (right) P2 subsequent adaptation peak amplitudes.
Supervisor: Urs Maurer (Chinese University of Hong Kong)
Collaborator: Shuting Huo (Chinese University of Hong Kong)
Summary:
- Distinct adaptation patterns were found for multiple repetitions in different components
- The mismatch negativity (MMN) combines two processes: an initial adaptation in the N1 and a continuous memory trace effect in the P2
Method: EEG with a pure tone roving paradigm
Read more:
---------------------------------------------------------------------------------------
Revisiting the influence of phonological similarity on cognate processing: Evidence from Cantonese-Japanese bilinguals
[Picture]
Examples of Chinese-Japanese cognates with different objective and subjective phonological similarities (OPS/SPS) used in the Japanese (L2) lexical decision task
Supervisor: Tomohiro Inoue (Chinese University of Hong Kong)
Collaborator: Shawn Hemelstrand (Chinese University of Hong Kong)
Summary:
- Phonological similarity, no matter measured objectively (OPS) or subjectively (SPS), appears to have minimal impact on Japanese cognate lexical decision among Cantonese-Japanese bilinguals
- This finding diverges from previous studies conducted on alphabetic languages, which showed a positive relationship between phonological similarity and cognitive processing
Method: Japanese (L2) lexical decision task
Read more:
---------------------------------------------------------------------------------------
How do Hong Kong bilingual children with Chinese dyslexia perceive dyslexia and academic learning? An interview study of metaphor analysis
[Picture]
Dyslexic children's quotes on metalinguistic awareness from the interview
Supervisor: Shuting Huo (Chinese University of Hong Kong)
Collaborator: Urs Maurer (Chinese University of Hong Kong)
Summary: Based on their metaphors and quotes, most children with dyslexia understand the concept of dyslexia and various learning domains well
Method: Interview with metaphor analysis
Read more:
---------------------------------------------------------------------------------------
The effects of input and output modalities on language switching between Chinese and English
[Picture]
Reaction times and switch costs in different modalities during language switching between Cantonese and English
Supervisor: Urs Maurer (Chinese University of Hong Kong)
Summary: Language switch costs can be found in writing and listening, but not only in speaking and receiving visual information as found in most previous research
Method: Behavioral task of language switching
Read more:
---------------------------------------------------------------------------------------